Welcome to m6Adecom

With the scale of m6A methylation profile data has reached a sizable level, the emphasis of bioinformatics research is gradually shifting from the identification or prediction of m6A modification sites to the functional annotation of m6A modification profiles. However, less m6A profile analysis tools have considered the features of the functional context of transcripts flanking the m6A modification sites, and therefore did not capture the intrinsic functional similarity between m6A sites. Here we aim to compare and analyze the m6A methylation profiles of different cells by combining existing large-scale m6A site data and contextual annotation information of high-coverage transcripts. Considering the high dimensional feature of the m6A profiles (as one profile can cover thousands of m6A sites), non-negative matrix factorization (NMF) was employed for dimensional reduction. Moreover, the functional context of m6A sites was further integrated as the graph regulation (constraint) term, resulting a graph-regularized non-negative matrix factorization (GNMF)-based method for m6A profile comparison.


This GNMF-based method was implemented as an online webserver, m6Adecom, where the user can excavate cell-specific m6A methylation sites and their enriched function information from the m6A profiles. This tool can be used for correlation and enrichment analysis of m6A sites. When user inputs a sample score matrix associated with m6A sites, m6Adecom decomposes the user-input samples into five features, and then conducts the correlation analysis between the user-input samples and the 72 human samples in our study. At the same time, m6Adecom can perform Gene Set Enrichment Analysis (GSEA) based on the user-input m6A sites and the functional information including high-score m6A sites, differential significance RBP and miRNAs with five features known in this study.

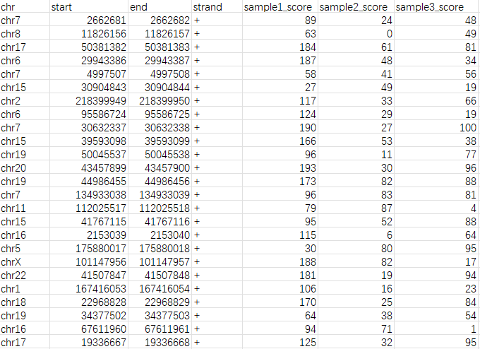
Input m6A profile started with the six column, BED-like m6A site annotations:

OR

Search history results by task ID:

Analysis Wizard

In the analysis section, you will need to submit a m6A profile file in the following format:

Download one example file: example.bed
Download the entire data: DOWNLOAD